eISSN: 3023-6940
  • Home
  • Demographic characteristics of Turkish kidney donors and the impact of donor-recipient relationship on postoperative outcomes: A single-center experience
E-SUBMISSION

Original Research

Demographic characteristics of Turkish kidney donors and the impact of donor-recipient relationship on postoperative outcomes: A single-center experience


1 Memorial Hizmet Hospital, Urology and Organ Transplantation Department, İstanbul, Turkey


DOI : 10.33719/yud.2023;18-1-1230358
New J Urol. 2023;18(1):100-107

ABSTRACT

Objective: Kidney transplantation (KTx) is the most effective treatment option for patients with end-stage renal disease (ESRD).  Live donor kidney transplantation  is unique as it involves healthy individuals who undergo a major surgery.  This retrospective study seeks  to investigate the effect of donor–recipient relationship on postoperative outcomes in Turkish donors undergoing laparoscopic donor nephrectomy (DNx).

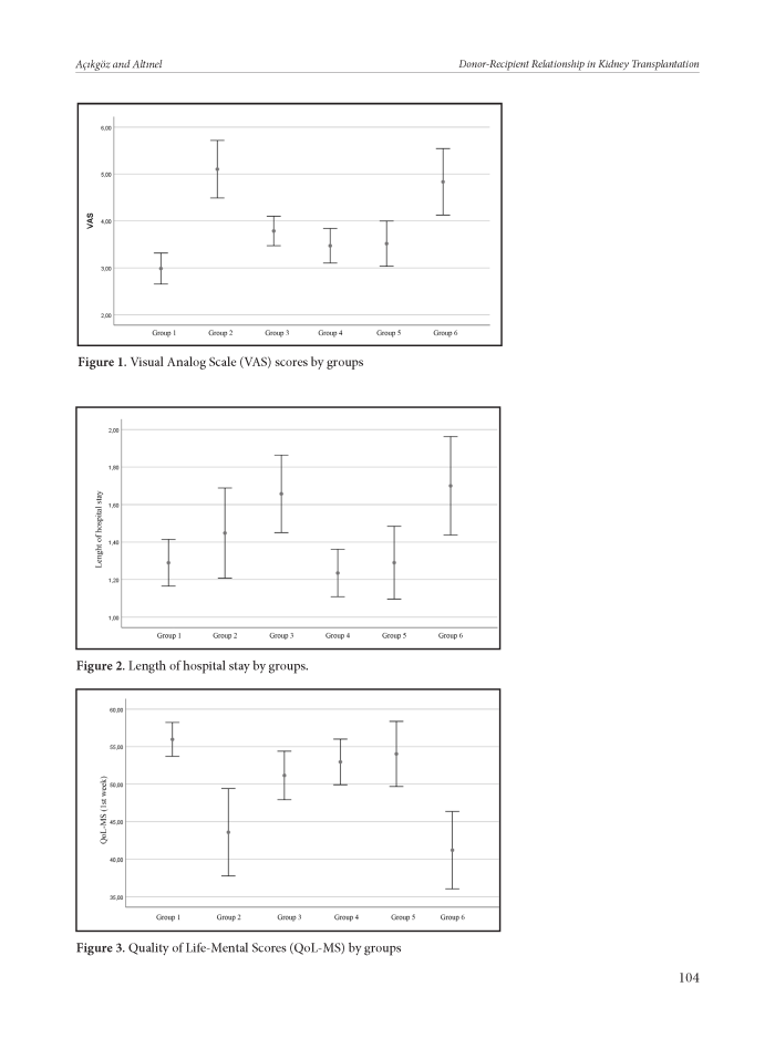
Material and methods: The study was conducted with a total of 297 patients who underwent left DNx. The patients included in the study were divided into six different groups based on the degree of relationship with the recipients: Sixty-nine cases of DNx involved mothers as kidney donors classified into group-1, 29 cases involving fathers into group-2, 70 cases involving spouses into group-3, 68 cases involving siblings into group-4, 31 cases involving children into group-5, and 30 cases involving second-degree and more distant relatives into group-6. Patients’ data including age, sex, education level, duration of surgery (ST), Visual Analog Scale (VAS) pain score at postoperative day 1, length of hospital stay (HS), and Quality of Life (QoL) were retrospectively analyzed and recorded.

Results: The groups had significant differences in terms of VAS scores, HS, and QoL-MS. Posthoc analysis was performed to find out which groups had significant differences. Results showed that group-1 had significantly lower VAS scores than group-2, group-3, and group-6. HS was significantly long in group-3 and group-6. QoL-MS was significantly lower in group-2 and group-6 than the other groups.

Conclusion: The degree of relationship of living kidney donors to recipients influences their psychological health in the early postoperative period and probably affects VAS scores and length of hospital stay. It can be argued that mothers are the group of donors least affected by the kidney donation process.

Key words: Kidney; transplantation; live donor; donor-recipient relationship


ABSTRACT

Objective: Kidney transplantation (KTx) is the most effective treatment option for patients with end-stage renal disease (ESRD).  Live donor kidney transplantation  is unique as it involves healthy individuals who undergo a major surgery.  This retrospective study seeks  to investigate the effect of donor–recipient relationship on postoperative outcomes in Turkish donors undergoing laparoscopic donor nephrectomy (DNx).

Material and methods: The study was conducted with a total of 297 patients who underwent left DNx. The patients included in the study were divided into six different groups based on the degree of relationship with the recipients: Sixty-nine cases of DNx involved mothers as kidney donors classified into group-1, 29 cases involving fathers into group-2, 70 cases involving spouses into group-3, 68 cases involving siblings into group-4, 31 cases involving children into group-5, and 30 cases involving second-degree and more distant relatives into group-6. Patients’ data including age, sex, education level, duration of surgery (ST), Visual Analog Scale (VAS) pain score at postoperative day 1, length of hospital stay (HS), and Quality of Life (QoL) were retrospectively analyzed and recorded.

Results: The groups had significant differences in terms of VAS scores, HS, and QoL-MS. Posthoc analysis was performed to find out which groups had significant differences. Results showed that group-1 had significantly lower VAS scores than group-2, group-3, and group-6. HS was significantly long in group-3 and group-6. QoL-MS was significantly lower in group-2 and group-6 than the other groups.

Conclusion: The degree of relationship of living kidney donors to recipients influences their psychological health in the early postoperative period and probably affects VAS scores and length of hospital stay. It can be argued that mothers are the group of donors least affected by the kidney donation process.

Key words: Kidney; transplantation; live donor; donor-recipient relationship